Внимание! Дорогие консультанты! Уважаемые лидеры! Быть счастливым и успешным - цель, к которой стремятся многие. Но до сих пор нет единой известной всем формулы счастья и успеха. Сегодня существует огромное количество техник по исполнению желаний. Широко известна парадигма «Быть-Действовать-Иметь». Сконцентрируйте свои усилия на саморазвитии. Развиваясь, позвольте себе действовать и результат обязательно придёт. Процесс достижения целей - не что иное, как реализация формулы «Быть - Действовать - Иметь». Компания МейТан поможет Вам в этом, предлагая выбрать любой шаг или блок из очередного промоушна. Действуйте шаг за шагом и за 5 месяцев сможете заложить серьёзную базу для построения успешной команды своих единомышленников. Станьте успешными! Действуйте! Подарки Компания МейТан всегда рада вручить Победителям! Удачи!
Сроки промоушна: Начало – 01.02.10, окончание – 30.06.10. длительность -5 месяцев
Блок 1: «5 шагов Новичка!» Чтобы стать преуспевающим консультантом, нужно в самом начале пути сделать правильные шаги. 5 простых шагов помогут сделать стремительную карьеру в Компании МейТан, а также принесут коллекцию подарков из самых популярных продуктов нашего каталога, которые легче всего продать даже новичку, попробовать самому. Выполненные шаги будут одновременно способствовать и росту бонуса.
Условия акции:
Шаг 1 (Блок 1.1) Зарегистрируйтесь в Компании, в месяц регистрации (например, феврале) сделайте покупку не менее чем на 50 тан и получите подарок первого шага – Набор продукции: плацентарная косметика Дао де Мей в тубе (1 шт – крем выравнивающий или от морщин, по наличию на складе), плацентарная косметика Дао де Мей в стекле (1 шт – крем выравнивающий или от морщин, по наличию на складе), DDM Крем для рук жемчужный (1 шт), Зубная паста-гель Shan Shan Mei (с триклоз. -1 шт) Примечание: Вышеперечисленный набор продукта утверждён на февраль и март, в дальнейшие месяцы наполнение набора может быть изменено.
Шаг 2 (Блок 1.2.) Только для консультантов, выполнивших шаг 1 в предыдущем месяце. Во втором месяце после регистрации (например, в марте) приобретите продукцию не менее чем на 50 тан, «подпишите» себе в первый уровень не менее трех новичков, которые повторят Вас и также сделают покупку не менее, чем на 50 тан.
Результат: Эти новички получат приз 1 шага!!! А Вы - приз 2 шага: Тени для век Yao Yan, №02 или №03 и набор продукции серии Мей Ли: ультра-увлажняющий дневной крем для лица 30 г (1 шт) увлажняющий крем для кожи вокруг глаз 15 г (1 шт) крем для рук 80 г (1 шт) Примечание: Вышеперечисленный набор продукта утверждён на февраль и март, в дальнейшие месяцы наполнение набора может быть изменено.
Помимо гарантированного приза второго шага, Вы начинаете получать вознаграждение по МП: 
Шаг 3 (Блок 1.3.) Только для консультантов, выполнивших шаг 2 в предыдущем месяце. В третьем месяце после регистрации (например, в апреле) сделайте покупку не менее чем на 50 тан, «подпишите» вновь в первый уровень не менее 3 новичков, которые, в свою очередь сделают покупку не менее чем на 50 тан (эти новички получат приз 1 шага), ваши новички предыдущего месяца выполняют условия 2 шага (получат приз 2 шага). При выполнении вышеперечисленных условий Вы получаете приз 3 шага - набор декоративной косметики Яо Ян: Yao Yan Помада-блеск, 6г на выбор, по наличию на складе (1 шт) Yao Yan тени для век и бровей (1 шт) Yao Yan Лак для ногтей, 7 мл, на выбор, по наличию на складе (1 шт) Yao Yan Карандаш для губ, 2г на выбор, по наличию на складе (1 шт) Yao Yan Пуховка праздничная (1 шт) Примечание: Вышеперечисленный набор продукта утверждён на февраль и март, в дальнейшие месяцы наполнение набора может быть изменено.
Помимо гарантированного приза третьего шага, Вы получите вознаграждение по МП. 
Блок 2: «Для консультантов успешно прошедших «3 шага Новичка»
Если Вы успешно прошли все три шага: 1. Ежемесячно выполняете активность не менее 50 тан 2. Ежемесячно подписываете трех новых консультантов, которые, в свою очередь активно принимают участие в «3 шагах Новичка» 3. Продолжаете активно работать с консультантами Вашего 1 уровня (а они, в свою очередь консультантов своего 1 уровня, и т.д.), мотивируя их «не потерять» ни одного из новичков, подписанных за период промоушна. И на момент его окончания у Вас в структуре нет ни одного консультанта, который бы не получил приза по «3 шагам Новичка» (одного, если новичок подписан в последний месяц, двух, если в предпоследний месяц, трех, если ранее)
Блок 2.1. «Успешный новичок марта», выполнивший вышеизложенные требования. На момент окончания промоушна (по результатам июня) Ваша структура будет составлять: 1 уровень: 3 новичка апреля, 3 новичка мая и 3 новичка июня – 450тан 2 уровень: 9 новичков мая (по три, подписанных тремя новичками апреля вашего 1 уровня) и 18 новичков июня (по три, подписанных тремя новичками мая вашего 1 уровня и по три, подписанных тремя новичками апреля вашего 1 уровня) – 1350 тан 3 уровень: 27 новичков июня (по три, подписанных девятью новичками мая вашего второго уровня, подписанных тремя новичками апреля вашего первого уровня) – 1350 тан. По окончании промоушна Вы, как успешный спонсор, получаете 1. В подарок от Компании золотую подвеску в корпоративном стиле в дополнение к подаркам 1, 2 и 3 шагов. 2. Вознаграждение по МП 3. Розничный доход от продаж (50%) 4. Все Ваши новички – с подарками.
Блок 2.2. «Успешный новичок февраля», выполнивший требования. На момент окончания промоушна Ваша структура составит: 1 уровень: 3 новичка марта, 3 новичка апреля, 3 новичка мая и 3 новичка июня – 600тан 2 уровень: 9 новичков апреля (по 3, подписанных новичками марта вашего 1 уровня), 18 новичков мая (по три, подписанных тремя новичками апреля вашего 1 уровня и по 3, подписанных тремя новичками марта вашего 1 уровня) и 27 новичков июня (по 3, подписанных тремя новичками марта вашего 1 уровня; по 3, подписанных тремя новичками апреля вашего 1 уровня; по 3, подписанных тремя новичками мая вашего 1 уровня) – 2700 тан 3 уровень: 27 новичков мая (по 3, подписанных девятью новичками апреля вашего 2 уровня, подписанных тремя новичками марта вашего 1 уровня), 81 новичок июня (по 3, подписанных девятью новичками мая вашего 2 уровня, подписанных тремя новичками апреля вашего 1 уровня; по 3, подписанных девятью новичками апреля вашего 2 уровня, подписанных тремя новичками марта вашего 1 уровня; по 3, подписанных девятью новичками мая вашего 2 уровня, подписанных тремя новичками марта вашего 1 уровня) – 5400 тан. 4 уровень: 81 новичок июня (по 3, подписанных 27ю новичками мая вашего 3 уровня, подписанных девятью новичками апреля вашего 2 уровня, подписанных тремя новичками марта вашего первого уровня) – 4050 тан.
Вы получаете в подарок от Компании 1. Золотую брошь с бриллиантом в корпоративном стиле в дополнение к подаркам 1, 2,3 и 4 шагов. 2. Розничный доход от продаж (50%) 3. Все Ваши новички – с подарками. 4. Вознаграждение по МП
Блок 3: Вы – новичок или консультант, имеющий в январе статус АК, КК или АМ*: Приглашаете новых консультантов в свою структуру, помогаете работать и «старым» У Вас из месяца в месяц (февраль-март) растёт Объём Структуры (обязательное условие!) Вы выполняете в апреле статус Директора и удерживаете его в мае и июне и получаете от Компании эксклюзивное ювелирное украшение в корпоративном стиле – брошь с бриллиантами и другими драгоценными камням. Подблок «Открой регион или страну*» Если Вы являетесь спонсором такого консультанта (и этот консультант новичок Компании) появился в приоритетном регионе* Вы также получаете этот приз - брошь с бриллиантами и другими драгоценными камнями
Примечание: Если у Вас в структуре есть консультант (консультанты), получивший (е) приз по блоку 3, для получения Вами этого вознаграждения – необходимо выполнить условия отображенные на рис1 или рис2 В том случае, если Вы-новичок и пришли в компанию в период промоушна (например, в марте или апреле) и выполняете статус Директора в мае и удерживаете (или повышаете) его в июне, то также получаете от Компании «Приз» - эксклюзивное ювелирное украшение в корпоративном стиле - брошь «Бабочка» (с бриллиантом).
Блок 4: Вы – новичок или консультант, имеющий в январе статус АК, КК, АМ* или М*: Приглашаете новых консультантов в свою структуру, помогаете работать и «старым» У Вас из месяца в месяц (февраль-март) растёт Объём Структуры (обязательное условие). Вы выполняете в апреле статус Старшего Директора и удерживаете его в мае и июне и получаете в подарок кольцо с бриллиантом. Примечание: Если у Вас в структуре есть консультант (консультанты), получивший(е) приз по блоку 3 и/или блоку 4, для получения Вами этого вознаграждения – необходимо выполнить условия, отображенные на рис 1 или рис 2. В том случае, если Вы-новичок и пришли в компанию в период промоушна (например, в марте или апреле) и выполняете статус СД в мае и удерживаете (или повышаете) его в июне, то также получаете от Компании «Приз» - кольцо с бриллиантом.
Подблок «Открой регион или страну*» Если Вы являетесь спонсором такого консультанта (и этот консультант новичок Компании) появился в приоритетном регионе или стране* – Вы также получаете этот приз.
Блок 5 Вы – Консультант, имеющий в январе статус АК, КК, АМ*, М* или Д*: Приглашаете новых консультантов в свою структуру, помогаете работать и «старым. У Вас из месяца в месяц (февраль-март) растёт Объём Структуры и статус (обязательное условие) Вы выполняете в апреле статус Дипломированного Директора и удерживаете его в мае и июне - Получаете от Компании «Приз» - комплект «Кольцо и серьги с бриллиантом». Вознаграждение по МП растёт. Подблок «Открой регион или страну*» Если Вы являетесь спонсором такого консультанта (и этот консультант новичок Компании) появился в приоритетном регионе* – Вы также получаете этот приз Вознаграждение по МП растёт. Все Ваши новички – с подарками. Примечание: Если у Вас в структуре есть консультант (консультанты), получивший(е) приз по блоку 3 и/или блоку 4 и/или блоку 5, для получения Вами этого вознаграждения – необходимо выполнить условия, отображенные на рис1 или рис2 В том случае, если Вы-новичок и пришли в компанию в период промоушна (например, в марте или апреле) и выполняете статус ДД в мае и удерживаете (или повышаете) его в июне, то также получаете от Компании «Приз» - комплект «Кольцо и серьги с бриллиантом» В том случае, если статус ДД Вы удерживаете в течение 4 месяцев и выигрываете одновременно по Блоку 5 и Президентскому гранту, согласно маркетинг – плана, то получаете более дорогой приз - Президентский грант (50 000р.). В том случае, если Вы удержали статус только 2 месяца, а промоушн заканчивается (не хватает до 4 месяцев), то только для Вас продолжается отсчёт 4 месяцев, независимо от времени окончания промоушна). Удержав статус 4 месяца – получаете Президентский грант, 2 месяца – приз по Блоку 5 (комплект серьги и кольцо с бриллиантом).
Блок 6 Вы - консультант, любящий продавать великолепный продукт Компании МейТан Ежемесячно будет подсчитываться Накопленный ЛОП, при условии ЛОП за отчетный месяц не менее 100 тан.
При НЛОП свыше 1000 тан вы получите от Компании право на купон на продукт на сумму равную: - 20% от НЛОП в случае, если достигли этого показателя за 2 месяца. - 15% - в случае, если достигли этого показателя за 3, 4 или 5 мес. - Сумма по купонам на продукт будет рассчитываться ежемесячно. В случае получения купона НЛОП обнуляется. Если промоушн еще продолжается – Вы вправе рассчитывать на следующий купон. - Также сумма НЛОП будет обнуляться, если не выполняется условие ЛОП меньше 100 тан.
Блок 7: «Отдых ждёт ВАС!» Вы консультант – лидер своей структуры. 7.1. Суммарный прирост Объёма Вашей Структуры в рублевом эквиваленте (ОС июня *21 – ОС января *13,5) за время промоушна составляет более 400 000 руб для консультантов Украины, и 600 000 руб. для консультантов России и других стран при условии роста ОС в рублевом эквиваленте в феврале и марте (обязательное условие) Вы премируетесь поездкой в Китай на 10 дней в октябре 2010г.
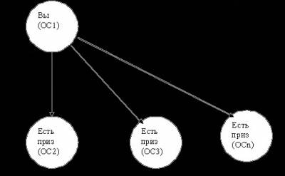
Примечание: ОС нижестоящего консультанта не должен превышать 50% ОС спонсора (рис. 1) Если под спонсором несколько Ветвей Структуры, в которых уже есть победители, то совокупный объем этих Ветвей не должен превышать 70% ОС спонсора (рис.2), причем в оставшейся части ОС (за минусом Объемов Ветвей Структур, в которых уже есть победители) также должен быть прирост, составляющий не менее 30% от суммарного прироста в этих ВС.
7.2. Если такой консультант, Победитель Блока 7, окажется новичком Компании (февраля, марта, апреля, мая или июня) в приоритетной стране *и в оставшейся части ОС его спонсора (за минусом Объемов Ветвей Структур, в которых уже есть победители) также наблюдается прирост не менее 10% от суммарного прироста, то спонсор также награждается поездкой в Китай на 10 дней. 
Примечание 1: В случае, если Вы получали призы по шагам 1, 2 и 3, то сумма купона на продукт будет уменьшена на сумму за шаги 1-3.
*Примечание 2: Подарки по промоушну не суммируются, выигрывается наиболее дорогой приз.
*Примечание 3: *Приоритетные регионы России: Смоленск и область Сочи Тула и область Астрахань и область Улан-Удэ и Республика Бурятия Чита и Забайкальский край Иркутск область Ставрополь и край Нижний Новгород и область Омск и область Якутск и Республика Саха - Якутия Петропавловск – Камчатский и Камчатский край *Приоритетные страны: Германия Польша Чехия Украина Казахстан Эстония Латвия Литва Армения Болгария Греция Молдова Беларусь Азербайджан *Примечание 4: Новым регионом не считается город, где проживает консультант. Например, Вы прописаны в городе Смоленске, развитие структуры в этом приоритетном городе для Вас не будет включать Блок «Открой новый регион и страну», но если у Вас появился новый лидер в другом городе этой области (по прописке), тогда Вы можете получить подарок по этому блоку.
Если Вы проживаете в городе, входящем в приоритетную страну, тогда Вам необходимо вырастить лидера в другом городе.
Для участия в Блоке «Открой новый регион и страну» необходимо подать заявление на адрес blinova@meitan.ru, указав место проживания своё и нового лидера и приложить копию паспорта с пропиской, в противном случае, новый лидер может быть компьютером автоматически «подтянут» к городу проживания спонсора.
Рис.1 Для получения Вами приза необходимо, чтобы ОС2 составлял не больше 50% от ОС1 
Рис.2 Для получения Вами приза необходимо, чтобы ОС2+ОС3+ОСn составлял не больше 70% от ОС1 
Дорогой друг! Уважаемый консультант! Если ты желаешь быть счастливым, сделай счастливым другого. Если ты желаешь быть удачливым, помоги добиться успеха другому. Если ты желаешь получить больше любви в своей жизни, сделай так, чтобы у другого ее было больше. Делай это искренне—не потому, что ищешь личной выгоды, но потому, что ты действительно хочешь, чтобы у другого человека все это было, — и все то, что ты отдал, придет к тебе. Желаем Успехов!
|